Использование реактивных свойств гидроксильных групп поливинилового спирта (ПВС) Эта модификация разрабатывается для новых областей применения
Аньхой Ливэй ХИМИЧЕСКИЙ КО., ЛИМИТЕД
1. Конденсацияполивиниловый спиртс карбонильными группами (альдегиды, кетоны и хиноны) и их применение.
① Разработка и применение высоковязкихполивинилбутиральная
смола (ПВБ)иПВБ-пленка. Поливинилбутиральные прослойки, изготовленные с использованием высоковязкогоПВБ-смолаобладают
исключительно прочной адгезией, превосходной прозрачностью, водостойкостью и светостойкостью.
Они давно являются предпочтительным материалом для промежуточных слоев защитного стекла и обладают огромным рыночным
потенциалом.
② Поливинилбензальдегид используется в чернильно-впитывающем слое печатной бумаги. Он плохо
впитывает чернила, не засоряет сопла принтера и обеспечивает чёткие изображения с превосходным
внешним видом.
③ Поливинилацетали, содержащие сильные гидрофильные группы, быстро растворяются в воде и
могут снижать химическую шероховатость поверхности.
④ Конденсация поливинилового спирта с 1,5-дигидрокси-3-пентаноном используется для получения поливинилспиртовых пленок, которые водостойки, влагостойки и обладают
превосходной механической прочностью. Продукт реакции конденсации поливинилового спирта и
п-формилазофосфония используется в хроматографическом разделении и обладает высокой чувствительностью и
коэффициентами распределения.
⑥ Поливиниловый спирт конденсируется с бензальдегидом, содержащим светочувствительные группы, для получения светочувствительных смол.
2. Этерификация поливинилового спирта и его применение.
Поливиниловый спирт может конденсироваться с хлорангидридом или карбоновой кислотой в условиях кислотного катализа с образованием эфиров поливинилового спирта. Благодаря высокой полярности сложноэфирной связи, эфиры поливинилового спирта обладают высоким блеском, твёрдостью и высокой водопоглощаемостью. Поэтому эти поливиниловые
спирты имеют широкий спектр применения.
① Эфир поливинилового спирта, образующийся при реакции поливинилового спирта с бензоилхлоридом,
обладает высокой поверхностной активностью и вязкостью.
2) Боратный эфир поливинилового спирта, образующийся путём сшивания поливинилового спирта с борной кислотой,
обладает превосходной эластичностью, высокой твёрдостью и стойкостью к растворителям, таким как уксусная кислота и
этан. Его готовят путём смешивания 1000 частей ацетонитрила, 1 части поливинилового спирта и 250
частей LiBO2 в форме и сушки. Твёрдость составляет 89,5.
③ Блокированный поливинилацетат используется в качестве стабилизатора полимерной дисперсии.

④ Поливиниловый спирт реагирует с хлоруксусной кислотой, образуя хлорацетат поливинилового спирта,
высокоэффективную светочувствительную смолу.
⑤ Молекулы лекарственных средств с карбоксильными группами могут обеспечивать пролонгированное высвобождение посредством этерификации
с поливиниловым спиртом (ПВС). В последние годы ПВС стал перспективным препаратом длительного действия. Лекарственные средства можно
прикрепить к молекулярным цепям ПВС или инкапсулировать в плёнки ПВС, а затем вводить перорально или
имплантировать в поражённую ткань, где они медленно высвобождаются для достижения терапевтического эффекта.
Этот подход обладает такими преимуществами, как длительный эффект и минимальные побочные эффекты.
3. Модификация путем присоединения с образованием амидных связей -NHCO-
① Поливиниловый спирт добавляется к изоцианатам для получения поливинилспиртовых полиуретанов. Пленки
изготовленные из поливинилспиртовых полиуретанов, обладают превосходными противозапотевающими свойствами и высокой
прозрачностью, с механической прочностью до 18 x 103 Па и удлинением при разрыве до 110%.
② Продукт реакции поливинилового спирта и дифенилметилдиизоцианата используется для приготовления
антисептических клеев. Продукт реакции поливинилового спирта и дифенилметил
диизоцианата смешивают с глицериновым эфиром, бензоатом и небольшим количеством отдушки для получения
клея с антисептическими свойствами. ③ Продукт реакции поливинилового спирта и ГМФИ
используют для приготовления термостойких покрытий. Покрытие, полученное в результате реакции поливинилового
спирта и ГМФИ, является термостойким, обладает отличной масло- и водостойкостью и стабильностью.
Пленка эмульсии, полученной в результате реакции поливинилового спирта и ГМФИ, инициированной
диизобутилоловом, с винилацетатом и 2-аминотиофенолом, была погружена в толуол при 90 °C
на 1 час и потеряла 3% веса.
3. Модификация путем присоединения с образованием амидных связей -NHCO-
① Поливиниловый спирт (полиуретан) получают путем реакции присоединения поливинилового спирта к
изоцианату. Пленка, полученная из поливинилового спирта (полиуретана), обладает превосходными противозапотевающими
свойствами и высокой прозрачностью, механической прочностью 18 x 103 Па и удлинением при разрыве
110%.
② Продукт реакции поливинилового спирта и дифенилметилдиизоцианата используется для приготовления
антикоррозионного клея. Продукт реакции поливинилового спирта и дифенилметил
диизоцианата смешивают с глицериновым эфиром, бензоатом и небольшим количеством отдушки для получения
клея с антикоррозионными свойствами.
③ Продукт реакции поливинилового спирта и ГМФИ используется для получения термостойких покрытий.
Покрытие, полученное реакцией поливинилового спирта и ГМФИ, является термостойким,
маслостойким, водостойким и стабильным. Эмульсия, полученная реакцией поливинилового
спирта и ГМФИ с диизобутилоловом в качестве инициатора, винилацетатом и 2-аминотиофенолом, была
погружена в толуол при 90 °C на 1 час и потеряла 3% веса.
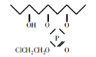
4. Модификация посредством других реакций
① Образование связей P-O. Поливиниловый спирт сшивается с O-(2-хлорэтил)фосфиноилом, образуя сложноэфирный полимер с превосходными огнезащитными свойствами.

② Реакция с мочевиной и её производными. Поливиниловый спирт реагирует с мочевиной и её производными,
образуя модифицированные полимеры поливинилового спирта. Под воздействием УФ-излучения они могут подвергаться
фотополимеризации с образованием лакокрасочной плёнки. Факторы, влияющие на реакцию фотосшивания,
включают частоту облучаемого света, степень полимеризации ПВС и
тип производного мочевины.